• 致远 ▪ 达观天下

云南:2021-2024年规划73GW新能源项目,加快配套接网工程建设(附项目名单)

云南:2021-2024年规划73GW新能源项目,加快配套接网工程建设(附项目名单)

4月8日,云南省能源局关于加快推进“十四五”规划新能源项目配套接网工程有关工作的通知。为确保顺利完成全省“十四五”新能源规划建设目标,切云南省发改委要求实做好新能源项目建设与配套接网工程同步规划、同步建设、同步投产工作,实现新能源项目按期并网消纳,保障全省能源供应安全。

对照《云南省“十四五”规划新能源项目清单》,按照2022-2024年每年开工2000万千瓦新能源并留有裕度的原则,编制完成新能源项目接入系统方案(包括建设时序),同时提前修订电网建设规划,加快新能源配套接网工程前期工作和建设,确保未来三年新增5000万千瓦新能源项目全额消纳。并要求文件印发1个月内将《清单》新能源项目接入系统方案报省能源局。

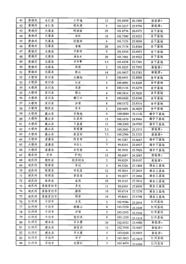
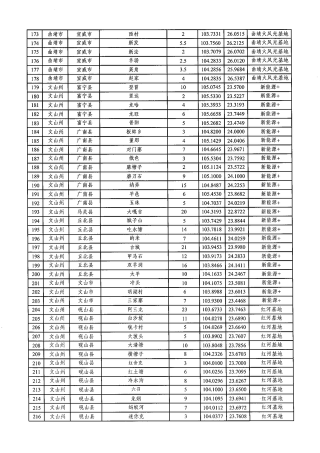
根据查询云南省“十四五”规划新能源项目清单发现,2022年-2024年共计5450万千瓦新能源项目。其中2022年2102万千瓦;2023年1792万千瓦;2024年1557万千瓦。

5450万千瓦项目主要包括红河基地636万千瓦、金下基地423万千瓦、金中基地285万千瓦、澜金上基地228万千瓦、澜中下基地346万千瓦、曲靖火风光基地292万千瓦、新能源+3240万千瓦。

此外,值得注意的是,2021年云南省2021年风电、光伏项目清单共1858.9万千瓦,其中光伏966.3万千瓦;风电892.6万千瓦。统计下来云南省2021年-2024年共计7308.9万千瓦新能源项目。

这些能源项目均要求建设与配套接网工程同步规划、同步建设、同步投产工作,实现新能源项目按期并网消纳,保障全省能源供应安全。

原文如下:

云南:2021-2024年规划73GW新能源项目,加快配套接网工程建设(附项目名单)

云南:2021-2024年规划73GW新能源项目,加快配套接网工程建设(附项目名单)

云南:2021-2024年规划73GW新能源项目,加快配套接网工程建设(附项目名单)

云南:2021-2024年规划73GW新能源项目,加快配套接网工程建设(附项目名单)

云南:2021-2024年规划73GW新能源项目,加快配套接网工程建设(附项目名单)

云南:2021-2024年规划73GW新能源项目,加快配套接网工程建设(附项目名单)

云南:2021-2024年规划73GW新能源项目,加快配套接网工程建设(附项目名单)

云南:2021-2024年规划73GW新能源项目,加快配套接网工程建设(附项目名单)

云南:2021-2024年规划73GW新能源项目,加快配套接网工程建设(附项目名单)

免责声明:以上内容转载自光伏們,所发内容不代表本平台立场。


返回首页